济南市鸿慷机电设备有限公司位于交通便利的泉城济南,是全球生产滚动轴承和直线运动产品的领导企业---德国舍弗勒集团在山东的授权代理商。公司专营舍弗勒集团旗下两大品牌INA轴承和FAG轴承,是一家顺应经济发展需要而诞生的专业化新型高端轴承公司。多年来一直从事轴承的销售和售后技术支持,在机械行业技术方面有着非常丰富的经验,今天济南鸿慷机电进口轴承专家为大家介绍一下轴承的游隙。
游隙是滚动轴承的一个重要指标,也是轴承应用中的一个重要参数。不同的轴承游隙对机械的运行会有不同的影响,所以应按规定选用,不可用错。今天我们就来谈谈轴承的游隙。
1、轴承游隙定义及分类

所谓轴承游隙,即指轴承在未安装于轴或轴承箱时,将其内圈或外圈的一方固定,然后使未被固定的一方做径向或轴向移动时的移动量。
根据移动方向,可分为径向游隙和轴向游隙(如上图所示)。按照游隙的状态,可以分为设计游隙、原始游隙、安装游隙和工作游隙。
设计游隙:按理论条件演算得出的理论游隙数值组配值。
原始游隙:轴承安装前自由状态时的游隙。原始游隙是由制造厂加工、装配所确定的。
安装游隙:也叫配合游隙,是轴承与轴及轴承座安装完毕而尚未工作时的游隙。由于过盈安装,或使内圈增大,或使外圈缩小,或二者兼而有之,均使安装游隙比原始游隙小。
工作游隙:轴承在工作状态时的游隙,工作时内圈温升最大,热膨胀最大,使轴承游隙减小;同时,由于负荷的作用,滚动体与滚道接触处产生弹性变形,使轴承游隙增大。轴承工作游隙比安装游隙大还是小,取决于这两种因素的综合作用。
2、轴承游隙的重要性
游隙是轴承的一个重要技术参数,它直接影响到轴承的载荷分布、振动、噪音、摩擦、温升、使用寿命和机械的运转精度等技术特性。
游隙过大,会引起轴承内部承载区域减小,接触面应力增大从而使用寿命缩短。过大的游隙还会使轴承运转精度下降,振动和噪音加大。
游隙过小,可能会在实际运行过程中出现负游隙(过盈)引起摩擦发热增大,温升提高,进而有效有效游隙更小或过盈更大,如此恶性循环将导致轴承抱死。
3、轴承的标准游隙及选用
径向内部游隙代号有一下几种:
C0:标准游隙代号,此代号一般在轴承型号中省略不做标记。
C2:比标准游隙略小的游隙。
C3:比标准游隙略大的游隙。
C4:比C3游隙略大的游隙。
C5比C4游隙略大的游隙。

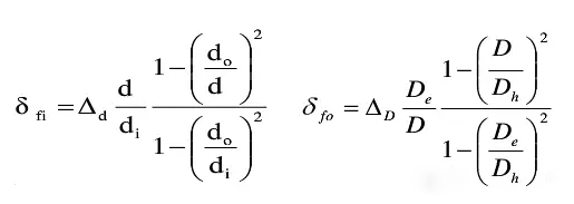
4、轴承工作游隙计算
这里我们所谓的工作游隙就是指轴承在实际运转中的游隙。假定初始游隙为△0,安装游隙△r,则有:△r=△0-δfi-δfo
其中δfi为内圈和轴配合引起的游隙减少量;
δfo为外圈和箱体配合引起的游隙减少量;
计算公式如下:

上述两个表达式中,
△d—内径和轴配合的过盈量;
d—轴承内径
di—轴承内圈平均外径,di=(3D+7d)/10;
d0—空心轴内径,实心轴d0=0;
△D—外径和箱体配合的过盈量;
D—轴承外径
De—轴承外圈平均内径,De=(7D+3d)/10;
Dh—箱体外径,对于刚体轴承座取无限大值
轴承实际运转时,由于温升和散热条件的影响,通常内圈温度会高于外圈温度,导致游隙变小。假定工作游隙为△e,则有:
△e=△r-δt
其中δt为由于内外圈温差导致的游隙减少量
δt=α*△T*Do
上式中:
α—轴承钢的热膨胀系数,一般取1.12X10^-5 (1/℃)
△T—内外圈温度差
Do—外圈滚道直径,对于球轴承Do=(4D+d)/5;对于圆柱滚子轴承Do=(3D+d)/4
根据以上表达式我们就可以求出轴承的实际游隙,进而判断所选择的游隙是否合理。
如果您对山东进口轴承、FAG轴承、INA轴承感兴趣或者有疑问的话,请点击联系我们网页右侧的在线客服,或致电:400-086-9890,山东进口轴承供应商——您全程贴心的采购顾问。
——责任编辑:济南鸿慷机电设备公司01销售顾问
版权所有www.fag66.com(济南鸿慷)转载请注明出处
